Agathe
|
Help
Result
30
of
579
Filters & Options
Show
Everything
(383,887)
Publications
(2,255)
Reports
(96)
Places and Monuments
(77)
Plans and Drawings
(11,611)
Images
(155,380)
Objects
(47,277)
Coins
(4,632)
Deposits
(1,765)
Notebooks
(306)
More
View as
List
Icons
Table
Map
References
All References
(2)
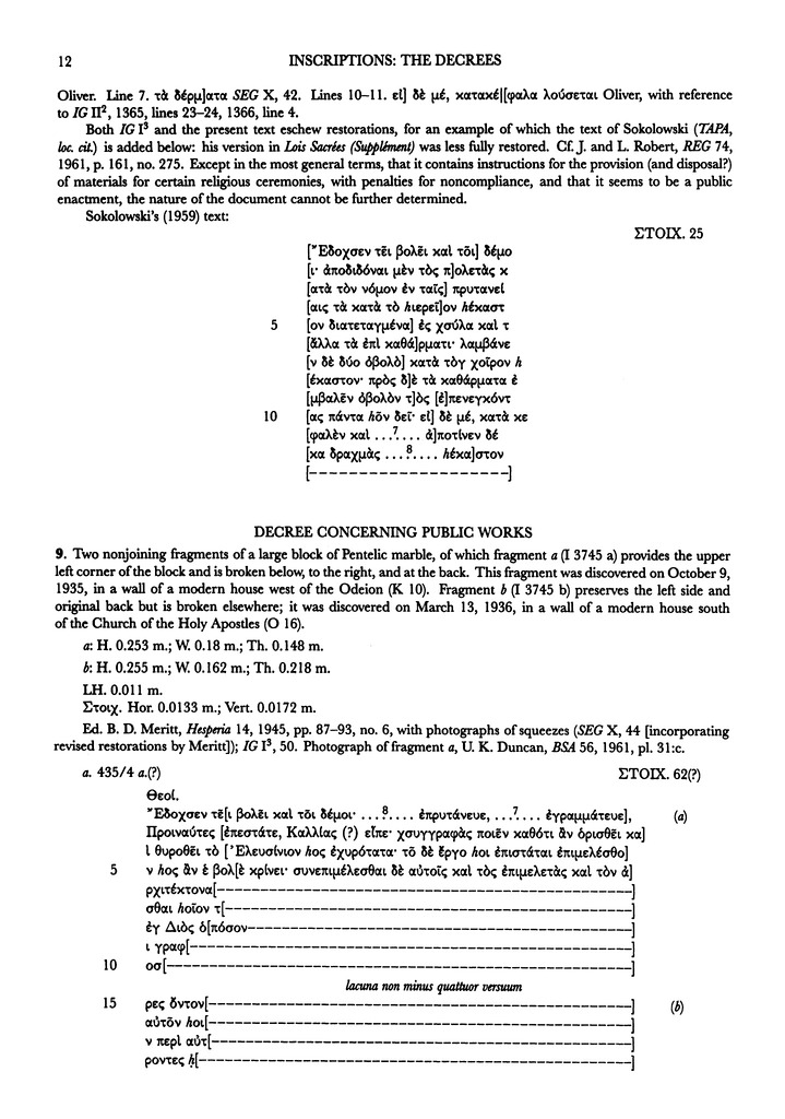
Publication: Agora XVI
Object: I 3745
Plot on
Map
Google Earth
Sign in
Provide feedback
Anything not working? Typos? Let us know.
Publication Page: Agora 16, s. 30, p. 12